Cho ,
. Khi đó
bằng
Gọi là diện tích hình phẳng giới hạn bởi các đường
. Mệnh đề nào dưới đây đúng?
Trong không gian , mặt phẳng
đi qua điểm nào dưới đây?
Trong không gian , phương trình nào dưới đây là phương trình của đường thẳng đi qua điểm
và có vectơ chỉ phương
.
Trong không gian , cho đường thẳng
. Trong các vectơ dưới đây, đâu không phải là một vectơ chỉ phương của đường thẳng
?
Trong không gian , cho hai đường thẳng
. Tính góc giữa hai đường thẳng
và
.
Trong không gian , phương trình mặt cầu có tâm
, bán kính bằng
là
Trong không gian , cho mặt cầu
. Tọa độ tâm
và bán kính
của mặt cầu
là
Cho hai biến cố độc lập với
. Khi đó
bằng
Một con xúc sắc cân đối, đánh số từ 1 đến 6, được gieo 2 lần liên tiếp. Xét các biến cố:
A: "Tổng số chấm trong hai lần gieo là số chẵn"
B: "Số chấm ở lần gieo thứ nhất là số lẻ"
Xác định biến cố A khi biết biến cố B đã xảy ra.
Cho là các biến cố của một phép thử
. Biết rằng
, xác suất của biến cố
được tính theo công thức nào sau đây?
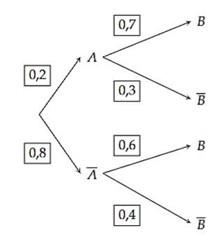
Cho sơ đồ hình cây như sau

Tính xác suất của biến cố B.
Tại một khu di tích vào ngày lễ hội hàng năm, tốc độ thay đổi lượng khách tham quan được biểu diễn bằng hàm số , trong đó
tính bằng giờ (
),
tính bằng người/giờ. Sau 2 giờ đã có 500 người đến tham quan khu di tích.
Xét tính đúng sai của các khẳng định sau:
Lượng khách tham quan được biểu diễn bởi hàm số .
Sau 5 giờ lượng khách tham quan là 1325 người
Lượng khách tham quan lớn nhất là 1496 người.
Tốc độ thay đổi lượng khách tham quan lớn nhất tại thời điểm giờ.
Trong không gian , cho điểm
và điểm
.
Xét tính đúng sai của các khẳng định sau:
Mặt cầu tâm đi qua điểm
có bán kính là
.
Phương trình mặt cầu tâm và đi qua điểm
có phương trình là
.
Phương trình mặt phẳng tiếp xúc với mặt cầu tâm
tại điểm
là
.
Phương trình mặt cầu tâm , cắt trục
tại hai điểm
và
sao cho độ dài đoạn
là
.
Biết là một nguyên hàm của hàm số
và
. Tính giá trị của
.
Đáp án: .
Tìm để
.
Đáp án: .
(Học sinh viết đáp án dưới dạng phân số tối giản a/b)
Trong không gian , cho điểm
và đường thẳng
. Mặt phẳng
đi qua điểm
và vuông góc với
có phương trình là
. Tính tổng
.
Đáp án: .
Trong một trường học, tỉ lệ học sinh nữ là 55%. Tỉ lệ học sinh nữ và tỉ lệ học sinh nam tham gia câu lạc bộ tiếng Anh lần lượt là 20% và 15%. Gặp ngẫu nhiên một học sinh của trường. Tính xác suất để học sinh đó tham gia câu lạc bộ tiếng Anh.
Đáp án: %.
Hình sau minh họa mặt cắt đứng của một bức tường cũ có dạng hình chữ nhật với một cổng ra vào có dạng hình parabol với các kích thước được cho như trong hình vẽ. Người ta dự định sơn lại mặt ngoài của bức tường đó. Biết rằng chi phí để sơn bức tường là 30 000 đồng/m2. Tổng chi phí để sơn toàn bộ mặt ngoài của bức tường đó là bao nhiêu triệu đồng?

Đáp án: triệu đồng.
Trong không gian , cho mặt cầu
có tâm
nằm trên đường thẳng
và tiếp xúc với hai mặt phẳng
. Tính giá trị của biểu thức
.
Đáp án: .
Một cuộc thi khoa học có 36 bộ câu hỏi, trong đó có 20 bộ câu hỏi về chủ đề tự nhiên và 16 bộ câu hỏi về chủ đề xã hội. Bạn Tùng lấy ngẫu nhiên 1 bộ câu hỏi (lấy không hoàn lại), sau đó bạn Linh lấy ngẫu nhiên 1 bộ câu hỏi. Xác suất bạn Linh lấy được bộ câu hỏi về chủ đề xã hội là với
là phân số tối giản. Tính giá trị của
.
Đáp án: .