Hướng dẫn làm tốt các bài toán cơ bản về phân số

Các bài toán cơ bản về phân số gồm các phép tính với phân số, so sánh phân số,... là các dạng bài thường xuyên xuất hiện trong đề thi vào 6 môn Toán. Cùng TAK12 ôn tập về phân số trong bài viết dưới đây.

1. Các phép tính với phân số

1.1. Kiến thức cần nhớ

Kiến thức cần nhớ về phép tính phân số
Kiến thức cần nhớ về phép tính phân số

1.1.1. Phép cộng phân số

1.1.2. Phép trừ phân số

1.1.3. Phép nhân phân số

1.1.4. Phép chia phân số

[%Included.Lớp 5%]

1.1.5. Một số lưu ý khi giải bài tập về các phép tính với phân số

[%Included.Dangky.Hoctot.Toan5.baitap%]

1.2. Bài tập về các phép tính với phân số

Bài toán 1: Thực hiện phép tính (theo cách hợp lý nhất)

các phép tính với phân số

Hướng dẫn giải:

các phép tính với phân số

Bài toán 2: Tính

phép tính phân số

Hướng dẫn giải:

phép tính phân số

Bài toán 3: Tính giá trị biểu thức

phép tính phân số

Hướng dẫn giải:

phép tính phân số

👉 Gợi ý các phần mềm nên chọn cho học sinh lớp 5

2. Tìm thành phần chưa biết của phép tính với phân số

2.1. Kiến thức cần nhớ

Phép cộng: Số hạng + số hạng = tổng

Phép trừ: số bị trừ - số trừ = hiệu

Phép chia: số bị chia : số chia = thương

Phép nhân: thừa số x thừa số = tích

2.2. Bài tập tìm thành phần chưa biết của phép tính với phân số

Bài toán 1: Tìm x biết

phép tính với phân số

Hướng dẫn giải:

phép tính với phân số

Bài toán 2: Tìm a biết

phép tính với phân số

Hướng dẫn giải:

phép tính với phân số

3. So sánh phân số

3.1. Kiến thức cần nhớ

3.1.1. So sánh hai phân số cùng mẫu số hoặc cùng tử số

Phân số có cùng mẫu số: Ta so sánh 2 tử số

Phân số có cùng tử số: Ta so sánh 2 mẫu số

3.1.2. So sánh hai phân số khác mẫu số

Cách 1:

Cách 2:

3.2. Một số phương pháp giải bài toán so sánh phân số

3.2.1. Phương pháp 1: Dùng một số làm trung gian

so sánh phân số

Khi nào sử dụng: Khi nhận thấy một phân số có tử số lớn hơn mẫu số và phân số kia có tử số bé hơn mẫu số.


Ví dụ: So sánh hai phân số:

3.2.2. Phương pháp 2: Dùng một phân số làm trung gian

Phân số làm trung gian: là phân số có tử số là tử số của phân số thứ nhất và mẫu số là mẫu số của phân số thứ 2

Khi nào sử dụng: Khi tử số của phân số thứ nhất bé hơn tử số của phân số thứ hai và mẫu số của phân số thứ nhất lớn hơn mẫu số của phân số thứ hai.


Ví dụ: So sánh hai phân số

Xét phân số trung gian là:

3.2.3. Phương pháp 3: So sánh phần hơn của hai phân số

M, N được gọi là phần hơn của hai phân số

Khi nào sử dụng: Cả hai phân số đều có tử số lớn hơn mẫu số và hiệu của tử số và mẫu số của hai phân số đều bằng nhau.


Ví dụ: So sánh hai phân số

3.2.4. Phương pháp 4: So sánh phần bù của hai phân số

M, N được gọi là phần bù của hai phân số

Khi nào sử dụng: Cả hai phân số đều có tử số nhỏ hơn mẫu số và hiệu của tử số và mẫu số của hai phân số đều bằng nhau.


Ví dụ: So sánh hai phân số

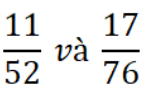
3.2.5. Phương pháp 5: Nhân thêm cùng một số vào hai phân số

Số được nhân: là thương của phép chia giữa  mẫu số và tử số của một trong hai phân số.

Khi nào sử dụng: Khi tử số của hai phân số đều bé hơn mẫu số và nếu lấy mẫu số chia cho tử số thì có thương và số dư bằng nhau.


Ví dụ: So sánh hai phân số

Có 52:11 và 76:17 đều bằng 4 dư 8

3.2.6. Phương pháp 6: Thực hiện phép chia hai phân số

Phương pháp này dựa vào nhận xét: Nếu số bị chia lớn hơn số chia thì được thương lớn hơn 1 và ngược lại.

Khi nào sử dụng: Khi tử số và mẫu số của hai phân số là những số có giá trị không quá lớn, không mất nhiều thời gian khi thực hiện phép nhân ở tử số và mẫu số.


Ví dụ: So sánh hai phân số

3.2.7. Phương pháp 7: Đảo ngược phân số để so sánh

Phương pháp này dựa vào nhận xét: Trong hai phép chia có số bị chia đều bằng nhau (bằng 1), phép chia nào có số chia lớn hơn thì có thương nhỏ hơn.

Khi nào sử dụng: Cả hai phân số đều có tử số bé hơn mẫu số và nếu lấy mẫu số chia cho tử số thì chúng có thương và số dư bằng nhau. Khi đó đảo ngược để đưa về phương pháp so sánh phần hơn.


Ví dụ: So sánh hai phân số

Như vậy, bài viết trên đã giới thiệu đầy đủ kiến thức cần nhớ về cách làm các dạng bài toán cơ bản về phân số, đặc biệt là các phép tính với phân số và so sánh phân số. Hy vọng nội dung trên hữu ích với các bạn đang trong quá trình ôn thi vào 6.

[%Included.Hoctotlop5%]

[%Included.TAK12%]